【印刷可能】 wi üµ¢ CJ CXg 306095
The Uniform Distribution Introductory Statistics
"wi "üµ¢ CJ CXg
"wi "üµ¢ CJ CXg-


Pro Ventilyatory I Kulery Pochti Final


Knight Shift And Leading Superconducting Instability From Spin Fluctuations In Sr2ruo4


Uranium Iii Carbon Multiple Bonding Supported By Arene D Bonding In Mixed Valence Hexauranium Nanometre Scale Rings Nature Communications


Solved V Kq R U Kq 1 Q 2 R 1 2 W Q Delta V K 9 T Chegg Com


Mechanism Of B Arrestin Recruitment By The M Opioid G Protein Coupled Receptor Pnas


Chapter 7 Covariance And Correlation


A Comprehensive Review Of Zno Materials And Devices Journal Of Applied Physics Vol 98 No 4


Beta Distribution Wikipedia


Chebyshev S Inequality Wikipedia


Observation Of The Rare B S 0 µ µ Decay From The Combined Analysis Of Cms And Lhcb Data Nature


Pro Ventilyatory I Kulery Pochti Final


Copula Probability Theory Wikipedia


Enhanced Flux Pinning Isotropy By Tuned Nanosized Defect Network In Superconducting Yba 2 Cu 3 O 6 X Films Scientific Reports


Covariance Wikipedia


Confnces De Zoologie Faites A Sorbonne Protozoa Hkz Invtt Dc Ori Vai Tet Uaxvi V Ixiawi X A Gt Gt A Gt Ol Ta Fig 365 0wtms Mit Keysselitz 3xina A Ya Jl Xxa Cu Amu V Amp Ckz I J Jta U Lt j I W X Ievu


Titulo


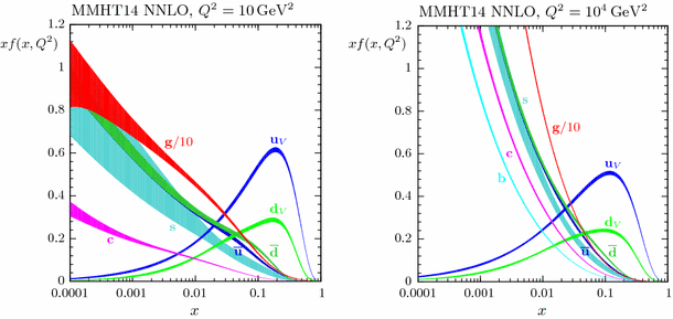
Parton Distributions In The Lhc Era Mmht 14 Pdfs Springerlink


Cd Ro High Resolution Stock Photography And Images Alamy


Report Of The Receipts And Expenditures Of The City Of Nashua Tn Cs A Gh Co C N To P Co N Cfl C N Jc Pjc X X Uj


The Uniform Distribution Introductory Statistics


The Uniform Distribution Introductory Statistics


Radiation Physics And Chemistry Journal Elsevier


Chapter 7 Covariance And Correlation


Papers Past Newspapers Lyttelton Times 24 February 11 Page 8 Advertisements Column 7


Gaussian Function Wikipedia


Frontiers Heteromerization Modulates Mu Opioid Receptor Functional Properties In Vivo Pharmacology


M M C Queue Wikipedia


Enhanced Flux Pinning Isotropy By Tuned Nanosized Defect Network In Superconducting Yba 2 Cu 3 O 6 X Films Scientific Reports


Worked Example Euler S Method Differential Equations Video Khan Academy


A Comprehensive Review Of Zno Materials And Devices Journal Of Applied Physics Vol 98 No 4


G E Hicks High Resolution Stock Photography And Images Alamy


A Micromorphic Beam Theory For Beams With Elongated Microstructures Scientific Reports


Community Detection On Networks With Ricci Flow Scientific Reports


The Optical Tweezer Of Skyrmions Npj Computational Materials


Poisson Equation Finite Difference Ppt Download


Poisson Equation Finite Difference Ppt Download


Gaussian Function Wikipedia


210 Questions With Answers In Functional Analysis Science Topic


Gibbs Free Energy Wikipedia


If F And G Are The Functions Whose Graphs Are Shown Let U X F G X V X G F X And W X G G X Find Each Derivative Wyzant Ask An Expert


Electric Potential


Beta Distribution Wikipedia


Chebyshev S Inequality Wikipedia


Search For The Lepton Flavour Violating Decay Mu Rightarrow Mathrm E Gamma M E G With The Full Dataset Of The Meg Experiment Springerlink




Chapter 7 Covariance And Correlation


Frontiers Water Use Efficiency Advances And Challenges In A Changing Climate Plant Science


语文a版语文五上 新年来了 Ppt课件3下载 Word模板 爱问共享资料


Chapter 7 Covariance And Correlation


Rejection Sampling Wikipedia


Programmable C G To G C Genome Editing With Crispr Cas9 Directed Base Excision Repair Proteins Nature Communications


The Success Story Of Graphite As A Lithium Ion Anode Material Fundamentals Remaining Challenges And Recent Developments Including Silicon Oxide Sustainable Energy Fuels Rsc Publishing Doi 10 1039 D0sea


A Comprehensive Review Of Zno Materials And Devices Journal Of Applied Physics Vol 98 No 4


Design Of Immobilized Enzyme Biocatalysts Drawbacks And Opportunities


Electric Potential


Structural Steel Joists And Metal Decking Mcgraw Hill Education Access Engineering


Jyryd Papjujqm


Hy Vee Whether You Live In A Pineapple Under The Sea Or Shop At Hy Vee We Re Celebrating International Talk Like A Pirate Day Comment Below With Your Pirate Name T Co Nmkkqcqsgl


Catalogue Of Vases Settees Fountains And Other Lawn Furniture A C A Pq A 3 D 9o Xi Lt Z Do Lll Cdill I Co I N W D Z


Bishasha Bigezweho Facebook


The Success Story Of Graphite As A Lithium Ion Anode Material Fundamentals Remaining Challenges And Recent Developments Including Silicon Oxide Sustainable Energy Fuels Rsc Publishing Doi 10 1039 D0sea


The Greek Alphabet


The Uniform Distribution Introductory Statistics


The Success Story Of Graphite As A Lithium Ion Anode Material Fundamentals Remaining Challenges And Recent Developments Including Silicon Oxide Sustainable Energy Fuels Rsc Publishing Doi 10 1039 D0sea


Jyryd Papjujqm


Substitution Model Wikipedia


C Span Org National Politics History Nonfiction Books


Beta Distribution Wikipedia


コメント
コメントを投稿